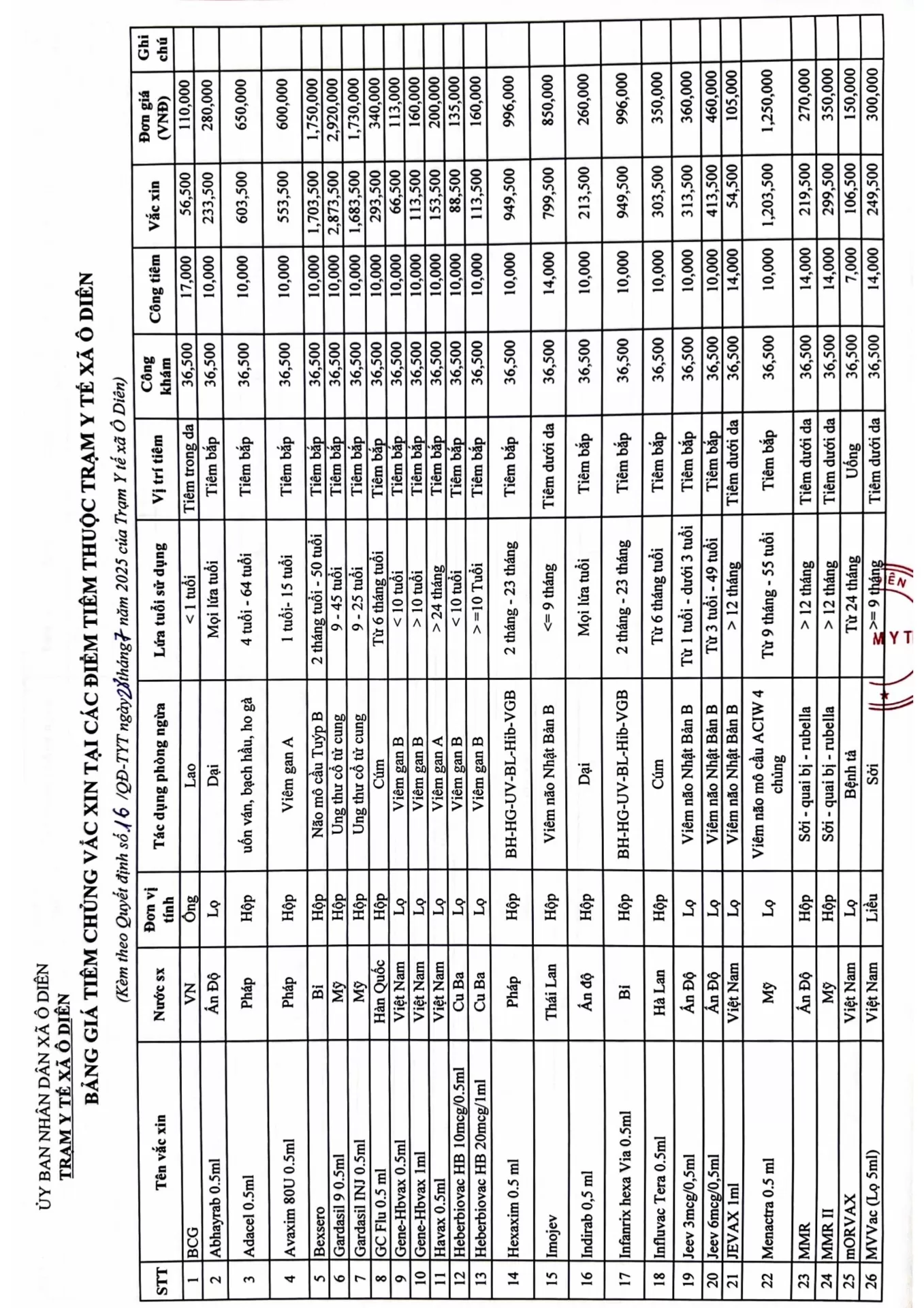
QUYẾT ĐỊNH VỀ VIỆC BAN HÀNH GIÁ TIÊM CHỦNG VẮC XIN TẠI CÁC ĐIỂM TIÊM THUỘC TRẠM Y TẾ XÃ Ô DIÊN22/08/2025 Chia sẻ:
TRẠM Y TẾ XÃ Ô DIÊN TRIỂN KHAI HIỆU QUẢ CÔNG TÁC ĐẢM BẢO Y TẾ VÀ AN TOÀN THỰC PHẨM TẠI LỄ CÔNG BỐ GHI DANH “HỘI HÁT CHÈO TÀU TỔNG GỐI”02/03/2026
Lãnh đạo xã Ô Diên thăm, chúc mừng Trạm Y tế nhân kỷ niệm 71 năm Ngày Thầy thuốc Việt Nam (27/2/1955 – 27/2/2026)28/02/2026
CHÀO XUÂN 2026 – TỰ HÀO TRUYỀN THỐNG 71 NĂM NGÀY THẦY THUỐC VIỆT NAM (27/2/1955 – 27/2/2026)23/02/2026